我院青年教师郭秀峰及其团队在国际权威期刊《Atmospheric Research》在线发表了题为” Effects of positive corona on upward leader initiation from tall building by 3D numerical simulation”的研究成果。上行先导的稳定始发是判断建筑物能否被闪电击中的一个重要指标,雷暴环境中的建筑物尖端电晕放电会对上行先导的始发产生影响,但对其具体影响程度的研究还很少。
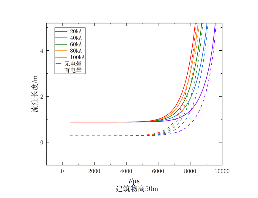
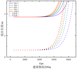
郭秀峰及其团队基于三维电晕放电模型和上行先导模型,建立了考虑尖端电晕放电的高建筑物上行先导始发模型,并将结果与实际观测进行对比,发现考虑电晕放电后的模拟模型结果与实测更加接近。利用该模型对了不同高度建筑物和不同回击电流峰值情况进行了模拟,探讨了下行负地闪过程中建筑物顶部正极性电晕放电对上行正先导始发的影响,结果发现:1)对于回击电流峰值相同的雷击过程,建筑物越高,电晕放电对上行先导始发的影响程度越大;2)若建筑物高度固定,回击电流峰值越小,电晕放电对上行先导始发的影响程度越大。例如:对于高200 m的建筑物上的上行先导,在回击电流峰值为20 kA时,电晕放电对上行先导始发的影响程度可达36%。
论文信息:Guo X., Ji Z., Gao Y., Zhang L., Lyu W., et al., Atmospheric Research (2023)https://doi.org/10.1016/j.atmosres.2023.106822.



图7不同回击电流峰值下有无电晕流注长度增长图,其中左图为建筑物高50 m,右图为建筑物高200 m


图12 .建筑物顶端上方的电势随高度的变化。左图Hb= 50m;右图Hb= 200m